Answers Database
Boundary Scan/JTAG: Description of TAP Controller states
Record #3203
Product Family: Software
Product Line: EPLD Core
Problem Title:
Boundary Scan/JTAG: Description of TAP Controller states
Problem Description:
Keywords: tap, controller, jtag, boundary scan, states
Urgency: standard
General Description:
How does the TAP Controller state machine work?
Solution 1:
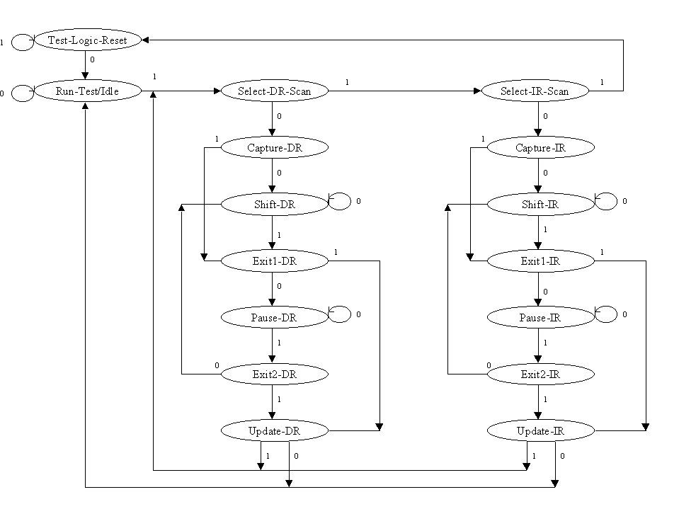
The TAP controller is a 16 state FSM that responds to the
control sequences supplied through the Test Access Port. The
state diagram is shown in the figure 
The TAP
Controller. A transition between the states only
occurs on the rising edge of TCK. Each state has a different
name. The two vertical columns with seven states each
represent the Instruction Path and the Data Path. The data
registers operate in the states whose names end with "DR" and
the instruction register operates in the states whose names
end in "IR". The states are identical otherwise.
The operation of each state is described below.
Test-Logic-Reset
All test logic is disabled in this controller state enabling
the normal operation of the IC. The TAP controller state
machine is designed in such a way that, no matter what the
initial state of the controller is, the Test-Logic-Reset
state can be entered by holding TMS at high and pulsing TCK
five times. This is the reason why the Test Reset (TRST) pin
is optional.
Run-Test-Idle
In this controller state, the test logic in the IC is active
only if certain instructions are present. For example, if an
instruction activates the self test, then it will be executed when the controlle
r enters this state. The test logic in the
IC is idles otherwise.
Select-DR-Scan
This is a controller state where the decision to enter the
Data Path or the Select-IR-Scan state is made.
Select-IR-Scan
This is a controller state where the decision to enter the
Instruction Path is made. The Controller can return to the
Test-Logic-Reset state other wise.
Capture-IR
In this controller state, the shift register bank in the
Instruction Register parallel loads a pattern of fixed values
on the rising edge of TCK. The last two significant bits are
always required to be "01".
Shift-IR
In this controller state, the instruction register gets
connected between TDI and TDO, and the captured pattern gets
shifted on each rising egde of TCK. The instruction available
on the TDI pin is also shifted in to the instruction
register.
Exit1-IR
This is a controller state where a decision to enter either
the Pause-IR state or Update-IR state is made.
Pause-IR
This state is provided in order to allow the shifting of
instruction register to be temporarily halted.
Exit2-DR
This is a controller state where a decision to enter either
the Shift-IR state or Update-IR state is made.
Update-IR
In this controller state, the instruction in the instruction
register is latched in to the latch bank of the Instruction
Register on every falling edge of TCK. This instruction also
becomes the current instruction once it is latched.
Capture-DR
In this controller state, the data is parallel loaded in to
the data registers selected by the current instruction on the
rising edge of TCK.
Shift-Dr, Exit1-DR, Pause-DR, Exit2-DR and Update-DR
These controller states are similar to the Shift-IR,
Exit1-IR, Pause-IR, Exit2-IR and Update-IR states in the
Instruction path.
End of Record #3203
| For the latest news, design tips, and patch information on the Xilinx design environment, check out the Xilinx Expert Journals! |